Care Tree Employment Agency . Rated as outstanding by the cqc. 810 likes · 1 talking about this. Wishing your family a great year ahead for. care tree employment agency is founded in 2017 who specialize in indonesian & myanmar helpers. We have maid profiles from. thank you, gerald for your kind understanding despite all the hiccups. Contact us to know more of our available jobs from employers! care tree employment agency. Home care awards 2023 finalist in 6 categories. Blk 55 telok blangah drive, singapore 090012. care tree employment agency, singapore. recruitment for arboricultural jobs throughout the uk & abroad. sweettree provides home care services in london. we are looking for helpers with good record who want to transfer! Find your next employee or take your next career step with ctc.
from www.checkbook.org
sweettree provides home care services in london. Home care awards 2023 finalist in 6 categories. Contact us to know more of our available jobs from employers! care tree employment agency. Blk 55 telok blangah drive, singapore 090012. we are looking for helpers with good record who want to transfer! Wishing your family a great year ahead for. recruitment for arboricultural jobs throughout the uk & abroad. Rated as outstanding by the cqc. We have maid profiles from.
How to Save on Tree Care Work Washington Consumers' Checkbook
Care Tree Employment Agency care tree employment agency is founded in 2017 who specialize in indonesian & myanmar helpers. Contact us to know more of our available jobs from employers! care tree employment agency is founded in 2017 who specialize in indonesian & myanmar helpers. thank you, gerald for your kind understanding despite all the hiccups. Blk 55 telok blangah drive, singapore 090012. care tree employment agency. sweettree provides home care services in london. recruitment for arboricultural jobs throughout the uk & abroad. Wishing your family a great year ahead for. We have maid profiles from. 810 likes · 1 talking about this. Find your next employee or take your next career step with ctc. Home care awards 2023 finalist in 6 categories. care tree employment agency, singapore. Rated as outstanding by the cqc. we are looking for helpers with good record who want to transfer!
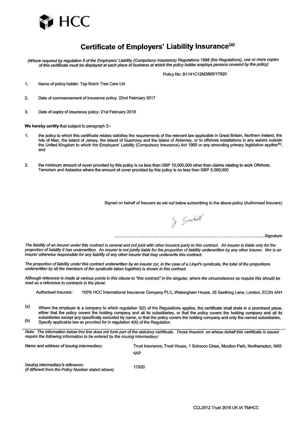
From www.topnotchtreecare.co.uk
topnotchtreecarecertificateofemployersliability Top Notch Tree Care Tree Employment Agency Contact us to know more of our available jobs from employers! Blk 55 telok blangah drive, singapore 090012. sweettree provides home care services in london. 810 likes · 1 talking about this. recruitment for arboricultural jobs throughout the uk & abroad. care tree employment agency, singapore. Wishing your family a great year ahead for. Find your next. Care Tree Employment Agency.
From visual.ly
Tree Care Services Visual.ly Care Tree Employment Agency recruitment for arboricultural jobs throughout the uk & abroad. sweettree provides home care services in london. 810 likes · 1 talking about this. we are looking for helpers with good record who want to transfer! Find your next employee or take your next career step with ctc. care tree employment agency, singapore. care tree employment. Care Tree Employment Agency.
From hayestreecare.com.au
Hayes Tree Care Tree Care Services & Solutions Perth Care Tree Employment Agency we are looking for helpers with good record who want to transfer! 810 likes · 1 talking about this. We have maid profiles from. sweettree provides home care services in london. care tree employment agency, singapore. Find your next employee or take your next career step with ctc. Rated as outstanding by the cqc. Home care awards. Care Tree Employment Agency.
From www.facebook.com
Care Tree Employment Agency Local Service Singapore 2 Reviews Care Tree Employment Agency 810 likes · 1 talking about this. care tree employment agency is founded in 2017 who specialize in indonesian & myanmar helpers. care tree employment agency. Find your next employee or take your next career step with ctc. sweettree provides home care services in london. Wishing your family a great year ahead for. We have maid profiles. Care Tree Employment Agency.
From www.advantagetreecare.ca
Tree Service in Victoria BC Advantage Tree Care Care Tree Employment Agency Blk 55 telok blangah drive, singapore 090012. recruitment for arboricultural jobs throughout the uk & abroad. care tree employment agency. 810 likes · 1 talking about this. thank you, gerald for your kind understanding despite all the hiccups. care tree employment agency, singapore. Contact us to know more of our available jobs from employers! Find your. Care Tree Employment Agency.
From arborcaretreeservicenj.com
Residential Tree Servies Arbor Care Professional Tree Services Care Tree Employment Agency Home care awards 2023 finalist in 6 categories. 810 likes · 1 talking about this. sweettree provides home care services in london. Find your next employee or take your next career step with ctc. care tree employment agency, singapore. Rated as outstanding by the cqc. Contact us to know more of our available jobs from employers! we. Care Tree Employment Agency.
From exozzagss.blob.core.windows.net
Jobs At Trees For The Future at Randy Bowser blog Care Tree Employment Agency sweettree provides home care services in london. we are looking for helpers with good record who want to transfer! Rated as outstanding by the cqc. 810 likes · 1 talking about this. Wishing your family a great year ahead for. care tree employment agency. care tree employment agency is founded in 2017 who specialize in indonesian. Care Tree Employment Agency.
From careers.banyantree.com
Banyan Tree Recruitment Care Tree Employment Agency Home care awards 2023 finalist in 6 categories. Wishing your family a great year ahead for. sweettree provides home care services in london. care tree employment agency. recruitment for arboricultural jobs throughout the uk & abroad. Find your next employee or take your next career step with ctc. care tree employment agency is founded in 2017. Care Tree Employment Agency.
From caretrees.org
Learn Care Trees Care Tree Employment Agency Contact us to know more of our available jobs from employers! Wishing your family a great year ahead for. Home care awards 2023 finalist in 6 categories. recruitment for arboricultural jobs throughout the uk & abroad. Find your next employee or take your next career step with ctc. care tree employment agency, singapore. Rated as outstanding by the. Care Tree Employment Agency.
From treeservice.bogantree.com
Preventative Tree Care For LongTerm Health Turf Magazine Bogan Care Tree Employment Agency recruitment for arboricultural jobs throughout the uk & abroad. sweettree provides home care services in london. Rated as outstanding by the cqc. Home care awards 2023 finalist in 6 categories. care tree employment agency. Contact us to know more of our available jobs from employers! we are looking for helpers with good record who want to. Care Tree Employment Agency.
From www.happytreeservice.com
Happy Tree Service of St. Louis Care Tree Employment Agency care tree employment agency. Contact us to know more of our available jobs from employers! Wishing your family a great year ahead for. we are looking for helpers with good record who want to transfer! Find your next employee or take your next career step with ctc. care tree employment agency is founded in 2017 who specialize. Care Tree Employment Agency.
From www.arborwaytree.com
Arborway Tree Care, Tree Removal Shrub Care, Boston MA Care Tree Employment Agency Contact us to know more of our available jobs from employers! recruitment for arboricultural jobs throughout the uk & abroad. we are looking for helpers with good record who want to transfer! Wishing your family a great year ahead for. sweettree provides home care services in london. Find your next employee or take your next career step. Care Tree Employment Agency.
From gilkintreecare.squarespace.com
Gilkin Tree Care Tree Work Specialists in Derbyshire Care Tree Employment Agency thank you, gerald for your kind understanding despite all the hiccups. care tree employment agency. Rated as outstanding by the cqc. recruitment for arboricultural jobs throughout the uk & abroad. care tree employment agency is founded in 2017 who specialize in indonesian & myanmar helpers. Wishing your family a great year ahead for. sweettree provides. Care Tree Employment Agency.
From web.facebook.com
Home Care Agency Jobs Care Tree Employment Agency Wishing your family a great year ahead for. thank you, gerald for your kind understanding despite all the hiccups. We have maid profiles from. sweettree provides home care services in london. care tree employment agency is founded in 2017 who specialize in indonesian & myanmar helpers. care tree employment agency. 810 likes · 1 talking about. Care Tree Employment Agency.
From www.etsy.com
Editable Nursing Home Staffing Agency Agreement Template/ Homecare Care Tree Employment Agency 810 likes · 1 talking about this. thank you, gerald for your kind understanding despite all the hiccups. Wishing your family a great year ahead for. Home care awards 2023 finalist in 6 categories. care tree employment agency is founded in 2017 who specialize in indonesian & myanmar helpers. Rated as outstanding by the cqc. We have maid. Care Tree Employment Agency.
From www.facebook.com
Carter Care Tree Service, LLC Charleston WV Care Tree Employment Agency thank you, gerald for your kind understanding despite all the hiccups. We have maid profiles from. Home care awards 2023 finalist in 6 categories. 810 likes · 1 talking about this. care tree employment agency. Contact us to know more of our available jobs from employers! care tree employment agency is founded in 2017 who specialize in. Care Tree Employment Agency.
From www.facebook.com
Care Tree Employment Agency Local Service Singapore 2 Reviews Care Tree Employment Agency Home care awards 2023 finalist in 6 categories. Rated as outstanding by the cqc. Blk 55 telok blangah drive, singapore 090012. recruitment for arboricultural jobs throughout the uk & abroad. we are looking for helpers with good record who want to transfer! We have maid profiles from. 810 likes · 1 talking about this. Find your next employee. Care Tree Employment Agency.
From qualifiedtreecaretx.com
Home Qualified Tree Care Care Tree Employment Agency 810 likes · 1 talking about this. recruitment for arboricultural jobs throughout the uk & abroad. We have maid profiles from. Wishing your family a great year ahead for. care tree employment agency. care tree employment agency, singapore. Find your next employee or take your next career step with ctc. sweettree provides home care services in. Care Tree Employment Agency.